Calcul de fractions


Les résultats doivent être donnés sous forme de fractions irréductibles
ou d'entiers naturels lorsque c'est possible
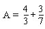
Compléter


question1.jpg=

question2.jpg=

question3.jpg=

question4.jpg=


question5.jpg=

question6.jpg=

question7.jpg=

question8.jpg=